Spectroscopy Since 1975
Metrohm Advertisement

Mapping molecular funnels with X-rays: precise timings of non-adiabatic excited state dynamics

17 February 2023 | News
by Ian Michael
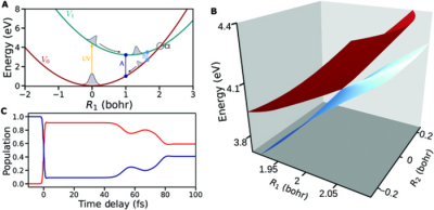
Overview of the model system

Time-resolved spectroscopy is a tool that provides access to the time-scale of chemical reactions as they happen. With the help of ultra-short light pulses, it is possible to observe conformal changes in molecules on the time-scale of the atomic motion and electronic motion. Photochemical reactions, such as the damage of DNA by means of sunlight or the key-step in the process of vision, can thus be observed in great detail. Observing a photochemical process with a time resolution corresponding to the molecular motion requires at least two pulses: a pump which triggers a reaction and a probe pulse that measure the result. Non-linear spectroscopy uses multiple pulses to explore excited state phenomena in molecules in even greater detail. Such non-linear schemes are well-established for optical laser pulses. However, in the X-ray regime, demonstrations of non-linear spectroscopy are more recent.

Scientists at Stockholm University have proposed a non-linear spectroscopic technique to investigate the coupled nuclear electronic dynamics in a photo-excited molecule. Non-adiabatic dynamics arise in molecules when the electronic motion slows down and approaches the same time-scale as the much heavier nuclei. This phenomenon may result in the formation of so-called conical intersections, which are “funnels” that connect different electronic states with each other. The energy of different electronic states becomes degenerate at the tip of the cone. Even though the existence of conical intersections in molecules was predicted in the late 1920s, their direct experimental observation is still challenging. The biggest obstacle is the femtosecond time-scale at which the conical intersections operate in a molecule.

In their theoretical study, Jadoun and Kowalewski propose an elaborate combination of three pulses to generate a spectroscopic signal that tracks conical intersections in a molecule. The photochemical reaction is initiated by an ultra-short ultraviolet laser pulse. After a short delay, a second pulse in the infrared regime creates a coherent superposition of electronic states. A third pulse in the X-ray regime measures the quantum interference created by the second pulse. The observation relies on the information about the dynamic electronic state separation embedded in the quantum interference created by the second pulse. The time-varying energy difference between the two electronic states is visualised in spectra constructed by altering the time delays between the three pulses. The proposed method can also observe the lifetime of the quantum interference created by the visible/infrared pulse. The technique is capable of observing multiple indicators of a conical intersection in molecules, potentially giving deeper insight into the physical mechanism behind conical intersections.

Read the original journal paper in Ultrafast Science

Rate this Article
No votes yet